本報記者 張穎
周三(6月21日),三大股指繼續震蕩回落。截至上午收盤,上證指數跌0.41%,報3227.15點;深證成指和創業板指跌幅分別為1.16%和1.41%;滬深兩市合計成交額6487.6億元,總體來看,兩市個股跌多漲少。

從資金面來看,6月21日上午,北向資金凈賣出16.64億元。另外,截至6月20日,滬深京三市的兩融余額合計16139.84億元,較前一交易日增加36.37億元。其中,融資余額合計15162.70億元,較前一交易日增加29.93億元,融券余額為975.04億元,較前一交易日減少6.44億元。
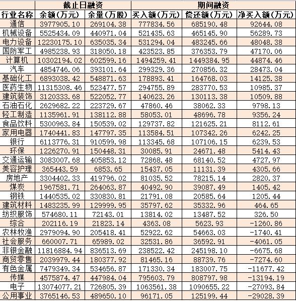
表:6月20日申萬一級行業兩融交易情況:

制表:張穎
對于后市,業內機構表示,當前的市場下跌或成為中期配置的機會,市場逐步向上修復可以期待。
東吳證券認為,目前市場在端午節前開始調整,量能仍保持充裕,若端午節期間無突發性事件發生,經過良性調整后總體看好端午節后的行情,后續行情或將出現切換。操作上看投資者可逢高進行止盈,積極調整倉位,選擇成交量活躍的板塊進行短線交易。
國盛證券表示,技術面看,主板3280點到3330點是密集拋壓區關鍵位置,突破需滬指放量到5000億元上方且大金融配合,防守位3230點,從戰術上看,市場短有盤整的需求,而從戰略上看,伴隨著人民幣離岸匯率貶值的預期在進一步減弱,升值的預期在進一步加強,如果匯率的升值預期得到確認,則市場逐步向上修復可以期待;中期看,7月份即將進入業績披露期,隨著人工智能相關題材的逐步走高,后市分化的概率加大,建議做好高低切換,短線關注露營經濟、AI芯片、軍工等方向。
中信建投表示,去年11月以來,全球股市出現一波修復,但截至今年5月底,全球股市走勢出現較大分化。分化的背后:本輪上漲中強勢的股市特點是弱周期、流動性支撐,而強周期股市表現相對較弱。展望未來,下半年中國經濟周期性反彈,人民幣匯率升值,流動性環境改善,A股上漲行情更具備持續性,當前的市場下跌或成為中期配置的機會。
熱點方面,截至6月21日上午收盤,PET銅箔、減速器等板塊漲幅居前。另外,手機游戲、傳媒等板塊跌幅居前。

具體看,截至6月21日上午收盤,減速器板塊再度活躍,漲幅居前達1.70%,資金凈流入達74.37億元。其中,通力科技、新時達、南方精工、中馬傳動等概念股漲幅均超10%。

對此,中信證券認為,利好政策推動產業資源整合,推動人形機器人技術迭代升級,解決痛點問題,加速商業化應用的到來。機器人目前尚處于發展初期,減速器等關鍵硬件領域有望受益于政策重視而繼續升級。
(編輯 白寶玉)
| 15:15 | 東誠藥業:控股子公司獲得放射性藥... |
| 15:15 | 上海沿浦:擬使用不超過5000萬元可... |
| 15:15 | 雪天鹽業:控股股東及其一致行動人... |
| 15:15 | 安井食品:全資子公司鼎益豐食品(... |
| 15:15 | 銀邦股份:股東無錫新邦科技有限公... |
| 15:15 | 中材國際:成都建材院繼續為成都埃... |
| 15:15 | 東星醫療:關于使用部分閑置募集資... |
| 15:15 | 英派斯:特定股東青島青英完成減持... |
| 15:15 | 通行寶:選舉蔣海晨為職工代表董事 |
| 15:15 | 東方創業:調整回購股份價格上限 |
| 15:15 | 嘉澤新能:關于“嘉澤轉債”轉股價... |
| 15:15 | 恩華藥業:提名孔徐生為獨立董事候... |
版權所有證券日報網
互聯網新聞信息服務許可證 10120180014增值電信業務經營許可證B2-20181903
京公網安備 11010202007567號京ICP備17054264號
證券日報網所載文章、數據僅供參考,使用前務請仔細閱讀法律申明,風險自負。
證券日報社電話:010-83251700網站電話:010-83251800 網站傳真:010-83251801電子郵件:xmtzx@zqrb.net
掃一掃,即可下載
掃一掃,加關注
掃一掃,加關注