本報記者 張穎
頂著“五窮”魔咒,5月份的A股市場不但實現了“開門紅”,同時,在本月以來(5月6日-8日)的3個交易日中小幅攀升,上證指數逼近2900點,累計漲幅達1.23%。深證成指和創業板指同期漲幅更是均超2%,分別為2.61%和2.7%。
對此,業內人士表示,五月“開門紅”后,市場熱點圍繞大消費、科技兩條主線,一批優質白馬紛紛走強。目前,大盤技術形態繼續得到修復,后市反彈可期。
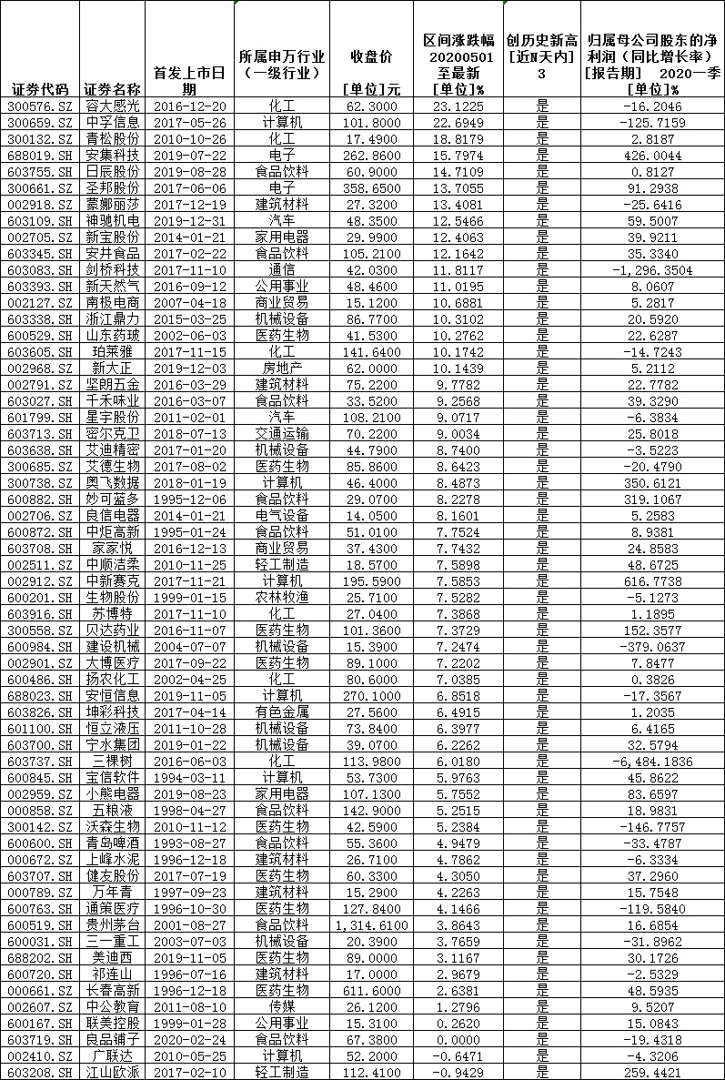
值得關注的是,近期,以貴州茅臺為首的多只股票股價紛紛創出了歷史新高。《證券日報》記者根據同花順統計發現,在近3個交易日里,滬深兩市共60只個股強勢領漲,股價創出歷史新高。其中,容大感光、中孚信息、青松股份和安集科技等4只個股,近3個交易日累計漲幅均超15%,分別為23.1%、22.7%、18.8%和15.8%。
在上述創新高的股票中,可以看到,三大“硬核”因素無疑成為推動股價上漲的主要動力。
首先,良好的業績是股價上漲的基石。近七成公司今年一季度凈利潤實現同比增長。
統計發現,在上述60只強勢股中,有40只個股2020年一季度凈利潤實現同比增長,占比達66.7%。其中,中新賽克、安集科技、奧飛數據、妙可藍多、江山歐派、貝達藥業等6只個股今年一季度凈利潤同比增幅均超100%。
其次,大消費概念股和科技股占主流。
在上述60只個股中,有20只個股屬于大消費概念股,其中,醫藥生物股有9只,食品飲料股有9只,汽車股有2只。另外,還有8只科技股,其中,計算機股有6只,電子股有2只。
第三,資金追捧助推股價上行。
統計發現,在上述60只強勢股中,近3個交易日呈現累計實現大單資金凈流入狀態的個股達29只,占比近五成。其中,五糧液、長春高新、青島啤酒、貴州茅臺和三一重工等5只個股,累計資金凈流入均超過1億元,分別為2.86億元、2.79億元、2.4億元、1.7億元和1.3億元。
可以看到,上述個股不但受到市場資金的熱捧,同時也被外資加倉布局。統計發現,在上述60只強勢股中,貴州茅臺、五糧液、格力電器、恒瑞醫藥、美的集團、三一重工等個股近3日均被北上資金凈買入。
“A股仍會是外資首選標的”。招商資產管理(香港)有限公司總經理、招商MSCI中國A股國際通ETF基金經理白海峰告訴《證券日報》記者,我們從北上資金持倉最大的股票可以發現外資的偏好,即龍頭白馬:擁有核心資產,符合價值投資,抗風險能力較強,且受疫情影響估值處于較低區位,配置價值高。板塊上來看,消費板塊中,商超等必需消費在疫情中維持業績上漲,可選消費在疫情穩定后可能會有報復性消費;醫藥、醫療器械板塊因全球疫情得到控制仍需要時間,需求短時間保持上升。
金百臨咨詢分析師秦洪在接受《證券日報》記者采訪時表示,當前A股市場已進入近期難得的做多時間窗口。一方面是因為,在某些重大政策、某些產業領域,有望出現新的超預期信息,將為A股市場提供新的做多契機。另一方面是因為,全球發達經濟體相繼復工,意味著全球供應鏈趨于完善,有利于我國經濟的復蘇、回穩。更何況,當前市場利率持續下行,流動性充足,再疊加政策友好的環境,因此,當前A股市場處于難得的做多時間窗口,相信,主流資金也不會輕易放棄如此較佳的做多契機。短線A股市場仍有望出現進二退一、重心穩步上移的態勢,不排除上證指數在下周站穩2900點,并依托2900點,上攻3000點的可能性。
表:60只創歷史新高個股情況一覽

(編輯 李波 白寶玉 策劃 趙子強 張穎 吳珊)
TOP50公司預收賬款超2.5萬億元 ...2020-05-10 23:56
茅臺股價屢創歷史新高、績優股再...2020-05-10 20:57
二季度最好投資窗口?逾39億元資...2020-05-10 20:55
機構五月調研忙:3天走訪89家公...2020-05-10 16:38
證金匯金一季度持股市值3.99萬億...2020-05-09 00:39
| 20:13 | 招商證券:招證國際為SPV發行總金... |
| 20:13 | 威派格:關于控股股東部分股份解質... |
| 20:13 | 恒鋒信息:“恒鋒轉債”預計觸發贖... |
| 20:13 | 立中集團:“立中轉債”贖回實施的... |
| 20:13 | 利君股份:子公司簽5760.7728萬美... |
| 20:13 | 朗威股份:簽署募集資金四方監管協... |
| 20:13 | 海森藥業:完成工商變更登記并換發... |
| 20:13 | 國聯股份:關于提前歸還部分募集資... |
| 20:13 | 僑銀股份:為子公司調劑1000萬元連... |
| 20:13 | 三星醫療:全資子公司寧波三星智能... |
| 20:13 | 大有能源:董事趙光明辭職,邵鋒當... |
| 20:13 | 佳都科技:關于股東部分股份質押的... |
版權所有證券日報網
互聯網新聞信息服務許可證 10120180014增值電信業務經營許可證B2-20181903
京公網安備 11010202007567號京ICP備17054264號
證券日報網所載文章、數據僅供參考,使用前務請仔細閱讀法律申明,風險自負。
證券日報社電話:010-83251700網站電話:010-83251800 網站傳真:010-83251801電子郵件:xmtzx@zqrb.net
掃一掃,即可下載
掃一掃,加關注
掃一掃,加關注